|
楼主
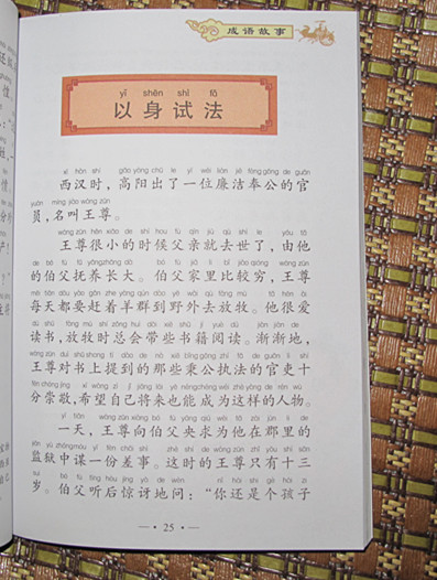
![]() 我们的汉字文化是博大精深,而成语又是汉字语言词汇中的一部分,一般是以四个字组成,而且很大部分是从古代承沿下来的,多半是出至经典古籍或者是诗文名篇中的名言佳句,或者是历史典故,简单的说一个成语就代表了一个历史故事。 虽然我不不能完全的记得每个成语的出处,但至少大概意思是能解释清楚的,所以平常在家也是很喜欢说说成语的,所以罐罐第一个学会的成语就是(乐极生悲),因为他经常玩得太疯狂了而导致自己摔跤或者是撞到了脚什么的,那时自然就会哭着跑过来求安稳了,我就告诉他这就是乐极生悲,所以他是早就记住了这个成语。 罐罐现在因为年龄大了,也记住了好多的成语,虽然在意思方面解释的不是很完整,但至少知道是大概意思的,就象刚刚才听见他说的(完好无损),他爸就问他了,说你知道是什么意思不,他说知道,就是说这个东西是好的,不是坏的,好吧,勉强合格。所以这次我在网上看见有套《成语故事》在打折,本来是40一套的,只要9.9,而且还是4本为一套的,算下来才2.5一本了,怎么也要收了它。呵呵 ![]() ![]() ![]() ![]() ![]() 每本书里面有30几个到40个左右的成语故事,4本也就有150个左右吧,这词语量有点大了,只能慢慢看,慢慢教孩子了,每本里面都是拼音带文字的,每个成语故事里面带有一副插图的,很形象的,里面的很多成语都是我们比较熟悉的,比如说(以身试法)说的是西汉的一个典故,王尊的父亲在他很小时就去世了,他是由他伯父养大的,然后他自己十三岁就到监狱里面去当差做事情了,后面通过他自己的不断努力学习,当上了县令,后又升为安定郡太守,那时的管场非常的混乱,王尊到那里上任就立即整顿,要求所有的官员忠于职守,不要以身试法,结果却有个贪官偏偏不知悔改,被他捉拿大牢,结果那贪官入大牢没几天就病死了。接着王尊又严惩了一大批这样的人,安定郡才慢慢太平起来了。 这个成语的意思是说不要试着去做触犯法律的事,也就是明知故犯,明明知道不行的事情,却还偏偏要去,那就肯定是不行的。 ![]()
本作品未经作者许可不得转载,转载请征求作者意见。擅自转载使用,将保留追究其法律责任的权利! 评分记录
本帖最近评分记录: 共1条评分记录 |
|
沙发
这个挺好的,字够大还带拼音
评分记录
|
|
板凳
拼音版实用性很强
|
|
4#
看起来不错啊,我也看到有类似的
|
|
5#
有拼音孩子自己也能读
|
|
6#
以后我也需要准备一套
|
|
7#
成语故事书,很好的。
|
|
8#
成语故事孩子们很喜欢听的
|
|
9#
这书很适合读小学的孩子看
|
|
10#
这个挺好的,字够大还带拼音 |
|
11#
拼音版实用性很强 |
|
12#
看起来不错啊,我也看到有类似的 |
|
13#
有拼音孩子自己也能读 |
|
14#
以后我也需要准备一套 |
|
15#
|












